پلی یورتان ها دستهای از مواد هستند که از طریق واکنش یک پلی ال (الکلی با بیش از دو گروه هیدروکسیل واکنش پذیر در هر مولکول) با دی ایزوسیانات یا ایزوسیانات پلیمری در حضور کاتالیزورها و مواد افزودنی مناسب تولید میشوند. از آنجا که برای تولید پلی یورتان از انواع مختلف دی ایزوسیانات ها و طیف وسیعی از پلی ال ها استفاده میشود، میتوان طیف گستردهای از مواد را تولید کرد تا نیازهای کاربردهای خاص را برآورده کند.

این ماده نتیجه نبوغ پروفسور اوتو بایر (1902-1982) است که به عنوان “پدر” صنعت پلی یورتان شناخته میشود. منشا پلی یورتان به آغاز جنگ جهانی دوم برمیگردد، زمانی که برای اولین بار به عنوان جایگزین لاستیک شناخته شد. در طول جنگ جهانی دوم، از پوششهای پلی یورتان برای ساخت لباسهای مقاوم در برابر گاز خردل، رنگ آمیزی هواپیما با براقیت بالا و پوششهای مقاوم در برابر خوردگی و مواد شیمیایی و برای محافظت از فلز، چوب و سنگ تراشی استفاده شد.
با پایان جنگ، پوششهای پلی یورتان در مقیاس صنعتی تولید و استفاده شدند و میتوانستند برای کاربردهای خاص به صورت سفارشی تهیه شوند. تا اواسط دهه 50، پلی اورتانها در پوششها و چسبها، الاستومرها و فومهای سفت و سخت یافت شدند. اواخر دهه 50 بود که کفهای قابل انعطاف بالشتکی راحت به صورت تجاری در دسترس بودند. با توسعه پلی اتیلن ارزان قیمت، فومهای انعطاف پذیر دری را به سوی صنعت تودوزی و کاربردهای خودرویی که امروزه میشناسیم، باز کردند.
امروزه پلی یورتان ها را تقریباً در هرچیزی که لمس میکنیم میتوان یافت : میز، صندلی، اتومبیل، لباس، کفش، لوازم خانگی، تختخواب و همچنین عایق بندی دیوارها و سقف و قالبهای منازل. دانشمندان و متخصصان، همچنان به دنبال توسعه ی فرمولاسیون، مواد افزودنی و تکنیکهای پردازش پلی یورتان هستند.
پلی ال ها
پلی ال یک ترکیب آلی شامل چندین گروه ازهیدروکسیلها است که به طور وسیع به دوگروه پلی ال پلی اتر و پلی ال استر تقسیم بندی میشود. همچنین، پلی ال ها ممکن است بر اساس کاربرد نهایی آنها طبقه بندی شوند.
پلی ال پلی اتر
پلی الهای پلی اتر به طور بسیار وسیعی در ساخت پلی یورتان ها استفاده میشود که ساختار آن را میتوان در شکل زیر مشاهده کرد

مونومرهای رایجی که در پلی ال های پلی اتر استفاده میشود در جدول زیر نشان داده شده است:

واکنش پلیمریزاسیون با یک الکل و یک پایه قوی آغاز میشود. پایه، معمولاً هیدروکسید پتاسیم است که در ابتدا مونومر الکولات را تشکیل میدهد. آنیون الکولات تحت مجموعهای از واکنشهای باز شدن حلقه اپوکسید یا اتر حلقوی قرار میگیرد. بنابراین، پلی ال های تشکیل شده منحصرا از اکسید پروپیلن، گروههای ثانویه هیدروکسیل را به عنوان گروههای انتهایی حمل میکنند. گروههای هیدروکسیل ثانویه نسبت به گروههای اولیه هیدروکسیل واکنش کمتری دارند.
برای بدست آوردن پلی ال ها با گروههای هیدروکسیل اولیه واکنش پذیر، پلیمریزاسیون با اکسید پروپیلن آغاز میشود و در مرحله نهایی اکسید اتیلن اضافه میشود. اتیلن اکسید حلالیت آب در پلی ال را بهبود میبخشد. به جای الکلها، از آمینها نیز میتوان استفاده کرد.
الکلهای آغازگر معمولی پروپیلن گلیکول، گلیسرول، تری متیلول پروپان، تری اتانول آمین، پنتا اریتریتول، سوربیتول یا ساکارز هستند. ساکارز منجر به تولید پلی ال های بسیار شاخهای مناسب برای فومهای سفت و سخت میشود، در حالی که الکلهای با عملکرد پایین تر برای مواد فومهای نرم استفاده میشوند. آمینها شامل اتیلن دیامین، تولوئن دیامین، 4،4 دیفنیل متان دیامین و دی اتیلن تری آمین هستند.
پلی ال های حاصل از عناصر اساسی بالاتر از پلی ال های دارای الکل به عنوان آغازگر ظاهر میشوند و بنابراین با ایزوسیاناتها واکنش بیشتری نشان میدهند. واکنش جانبی باز در پلیمریزاسیون، واکنش ایزومریزاسیون است.
پلی ال های کوپلیمر از طریق پیوند استایرن یا اکریلونیتریل به پلی (اکسید پروپیلن) بدست میآیند. رادیکالها به عنوان واکنش انتقال به پلی (اکسید پروپیلن) به سایت هیدروژن سوم در پلی (اکسید پروپیلن) حمله میکنند. در ابتدا از اکریلونیتریل خالص برای پیوند استفاده میشد، اما پلی اتیلنهای کوپلیمر تشکیل شده، باعث ایجاد مشکلاتی همچون تغییر رنگ در اسفنجهای قابل استفاده در تخته سنگ میشود. به همین دلیل پلی الهای کوپلیمر استایرن / اکریلونیتریل تولید شد.
روش دیگر کاربردی سازی پلی ال ها با یک بخش وینیل است. این امر با واکنش پلی ال ها با انیدرید مالئیک یا متاکریلوئل کلرید حاصل میشود. البته عملکرد پلی ال ها باید بیشتر از 2 نسبت به گروه هیدروکسیل باشد، زیرا گروههای هیدروکسیل از بین میروند. اگر به پلی ال عاملدار شده وینیل مخلوط مونومر وینیل پلیمریزاسیون اضافه شود، پلی ال های آویز گروه وینیل در واکنش پلیمریزاسیون شرکت میکنند. با توجه به پلیمر وینیل، ساختاری شانه مانند ایجاد میشود. دیولها و پلی ال های تجدیدپذیر برای پلی یورتان با واکنش اتصال تیول-ین به اسیدهای چرب مشتق شده از آلکین از اسیدهای اولئیک و 10 اسیدهای غیردکنوئیک به دست آمد.
پلی ال پلی استر
پلی ال پلی استر دستهای از پلی ال ها است که ساختار آن در شکل زیر نشان داده است.

پلی ال ها معمولا با استفاده از اسیدها ویا الکلها تهیه میشوند. در جدول زیر مونومرهای پلی ال پلی استر نشان داده شده اند.

پلی استرها با گرم شدن دیول در 90 درجه سانتیگراد و افزودن اسید به آن تولید میشوند. دمای واکنش به آرامی تا 200 درجه سانتیگراد افزایش مییابد. برای حذف آب از گاز بی اثر یا خلا استفاده میشود. میعانات توسط اسیدها، بازها و ترکیبات فلزات واسطه کاتالیز میشود. با این حال، باید از کاتالیزورها با احتیاط استفاده شود، زیرا میتوانند اثرات نامطلوبی بر واکنش پخت بعدی داشته باشند.
اسیدهای فومهای نرم اسیدهای آلیفاتیک مانند اسید آدیپیک هستند، در حالی که انیدرید فتالیک میزان سفتی را افزایش میدهد. از ترفتالیک اسید یا ایزوفتالیک اسید در پوششهای سخت و چسبهای با عملکرد بالا استفاده میشود و چنین فومهایی بهبود مییابند تا در برابر شعله مقاوم باشند.
پلی استرهای مبتنی بر اسید ترفتالیک با استفاده از ترانس استریشن دی متیل ترفتالات ساخته میشوند. همچنین مواد زائد پلی (اتیلن ترفتالات) مانند بطریهای پلی استر یا بطریهای نوشابه، میتوانند توسط گلیکولیز بازیافت شوند تا بتوانند پلی ال های مناسب بدست آورند. تریولها، مانند گلیسرول و 1،1،1-تری متیلول پروپان، منجر به تولید پلی استرهای شاخهای میشوند. الکلهای مورد استفاده برای فومها عبارتند از: اتیلن گلیکول، دی اتیلن گلیکول، پروپیلن گلیکول، 1،4-بوتاندیول، 1،6-هگزاندیول و غیره.
پلی استرهای متشکل از یک جز اسیدی منفرد و یک جز الکلی منفرد، کریستالی هستند. تبلور را میتوان با استفاده از مخلوط دیولها یا مخلوط پلی استرهای مختلف کاهش داد. پلی استرهای مخلوط حاصل از اسیدهای زائد تولید نایلون حاوی اسید آدیپیک، اسید گلوتاریک و اسید سوکسینیک هستند.
گروه استر در پلی ال های پلی استر به حمله هیدرولیز حساس است. پایداری هیدرولیز را میتوان با افزودنیهایی که با گروههای کربوکسیلیک و الکلی واکنش میدهند، که در طول هیدرولیز تشکیل میشوند، بهبود بخشید. این مواد افزودنی شامل اگزازولینها، ترکیبات اپوکسی و ساختارهای کاربدییمید است. به طور خاص، پلی الهای پلی استر را میتوان با افزودن 1-2 درصد از کاربدییمیدهای آروماتیک تثبیت کرد. این ترکیبات پاک کننده اسید تولید شده توسط هیدرولیز استر هستند. این اسید هیدرولیز بیشتر را کاتالیز میکند.
پلی الهای پلی استر میتوانند حاوی 10-20٪ از پلیمرهای وینیل باشند. پلیمرهای وینیل باعث بهبود پایداری هیدرولیز، سختی و پایداری فرم میشوند.
انتخاب پلی ال مناسب برای تولید پلی اورتان
از پلی ال های با وزن مولکولی بالا عمدتا برای سنتز پلی اورتان(PU) نرم استفاده میشود در حالی که پلی ال های با وزن مولکولی کم برای تولید پلی یورتان سخت استفاده میشوند پلی ال هایی که برای پلی یورتان های نرم مورد استفاده قرار میگیرند، اغلب از آغازگرهایی با عملکرد پایین مانند گلیسیرین، دیپروپیلن گلیکول یا محلول آب و سوربیتول استفاده میکنند. از طرف دیگر، پلی الها برای پلی اورتان های سفت و سخت آغازگرهای با عملکرد بالاتر مانند سوربیتول، بازهای مانیچ، ساکارز و تولوئنیدامین را به کار میگیرند. معمولاً تا رسیدن به وزن مولکولی مورد انتظار، اتیلن اکسید و / یا اکسید پروپیلن در آغازگرها گنجانده میشود.
قابل ذکر است که مقدار و ترتیب افزودن اکسید، بسیاری از خصوصیات پلی ال را تعریف میکند این شامل حلالیت در آب، واکنش پذیری و سازگاری آن است. پلی ال هایی که فقط از اکسید پروپیلن تولید میشوند، غالباً با گروههای OH ثانویه خاتمه مییابند و در مقایسه با پلی الهای حاوی اکسید اتیلن (حاوی گروههای اولیه – OH) )واکنش کمتری دارند. پلی ال های پیوندی که پلی ال های پر شده نامیده میشوند، از آکریلونیتریل ریز توزیع شده، استایرن-اکریلونیتریل یا ذرات پلیمری پلی اوره تشکیل شده اند که از نظر شیمیایی به یک پلی کتون با وزن مولکولی بالاتر پیوند میخورند. غالباً، آنها برای افزایش ظرفیت تحمل بار، در فومهای با انعطاف پذیری بالا گنجانده میشوند.
همچنین ممکن است از آنها برای افزودن مقاومت به الاستومرهای ریخته گری شده و سایر فومهای ریز سلول استفاده شود. پلی ال های فوم سفت و سخت با وزن مولکولی کم نیز ممکن است با استفاده آغازگرهایی از تری اتانول آمین یا اتیلن دی آمین تولید شوند. این نوع از پلی ال ها به دلیل وجود اتمهای نیتروژن موجود در ساختار، خاصیت کاتالیزوری ذاتی دارند. دسته دیگری از پلی اتیل پلی ال بسیار مهم به نام پلی (تتراماتیلن اتر) گلیکول که از پلیمریزاسیون تتراهیدروفوران بدست آمده است، عمدتاً برای کاربردهای خیساندن، الاستومر و پوشش با عملکرد بالا مورد توجه قرار میگیرند.
معمولاً پلی ال های پلی استر چسبناک تر هستند و همچنین در مقایسه با پلی ال های پلی اتر گران ترند. با این حال، آنها هنوز هم بسیار مهم هستند زیرا آنها پلی یورتانی با مقاومت بیشتر در برابر برش تولید میکنند. گروه دیگری از پلی ال های پلی استر از مواد اولیهای که بازیافت شده اند حاصل میشوند. آنها از طریق ترانس استریشن سازی تولید میشوند که در غیر این صورت به عنوان گلیکولیز پلی بازیافتی (اتیلن رفتالات) یا ته تقطیر دی متیل ترفتالات با گلیکولها شناخته میشود (به عنوان مثال: دی اتیلن گلیکول).
این پلی ال های آروماتیک که دارای وزن مولکولی کمی نیز هستند، اغلب برای تولید فومهای سفت و سخت مورد استفاده قرار میگیرند زیرا باعث کاهش هزینه و خاصیت اشتعال پذیری مناسب برای تختههای پلی ایزوسیانورات و همچنین فومهای عایق پلی یورتان میشوند.
در ساخت درزگیرها، الاستومرها و چسبهایی که به کیفیتهای بالا احتیاج دارند که میتواند باعث مقاومت در برابر عوامل شیمیایی و محیطی شود، گروهی از پلی ال ها به نام پلی ال های ویژه مورد نیاز است. برخی از این پلی ال ها عبارتند از: پلی ال های پلی سولفید، پلی های پلی کاپرولاکتون، پلی ال های پلی کربنات و پلی ال های پلی بوتادین. پلی ال های مختلفی ممکن است از منابع طبیعی و تجدیدپذیر مانند روغنهای گیاهی بدست آید. این مواد تجدید پذیر میتوانند اسیدهای چرب یا اسیدهای چرب دیمر باشند.
روغنهای سبزیجاتی که میتوان از آنها پلی ال تهیه کرد شامل کرچک، سویا، پونگامیا گلابارا، چریش، دانه پنبه و غیره است.روغنهای مشتق شده از این روغنهای گیاهی عمدتا برای تولید فومهای نرم قالبی و الاستومرها استفاده میشوند. وجود تری اسیل گلیسیرید در روغنهای سبزیجات آنها را برای تولید چندین ماده پلیمری مناسب میکند . پلی ال های حاصل از منابع تجدیدپذیر را میتوان با ایزوسیانات ها واکنش داده و پلی یورتان هایی با خواص ویژه تولید کرد که برای طیف وسیعی از کاربردها مناسب است.
پلی یورتان های حاوی فلورین سنتز شده از دو جز شامل واکنش پلی ایزوسیانات با پلی ال های فلوئوره شده برای سنتز پوشش / رنگ محیط مورد بررسی قرار گرفته اند. با توجه به مقدار زیاد پیوند فلوئور – کربن (قوی ترین پیوند شیمیایی) در پلی یورتان های حاوی فلورین، مشاهده شده است که آنها مقاومت خوبی در برابر اشعه ماورا بنفش، مواد قلیایی، مواد شیمیایی، اسیدها، حلالها، خوردگی، هوازدگی، قارچها و سایر حملات میکروبی دارند. این ویژگیها آنها را برای رنگ آمیزی / پوشش با کیفیت بالا بسیار مطلوب میکند.
ایزوسیانات
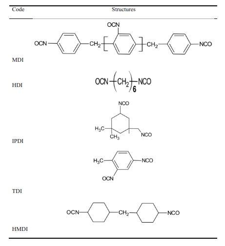
ایزوسیاناتها برای تهیه پلی یورتان ترکیب بسیار ضروری هستند. آنها را میتوان به صورت دی فاکشنال (Difunctional) و هتروفاکشنال (heterofunctional) و آروماتیک یا آلیفاتیک دسته بندی کرد. از میان چندین گزینه موجود، گزینههای متداول مورد استفاده عبارتند از: متیلن دی فنیل دی ایزوسیانات (MDI)، تولوئن دی ایزوسیانات (TDI) و دی آلیفاتیک دی ایزوسیانات. ساختار برخی از ایزوسیاناتهای معمول در جدول زیر نشان داده شده است.

به طور کلی، MDI و TDI در مقایسه با سایر ایزوسیانات ها ارزان تر و واکنش پذیرتر هستند. آنها معمولاً برای تولید فومهای نرم مانند فومهای قالبی برای صندلیهای اتومبیل و یا برای تولید تشک استفاده میشوند. همچنین میتوانند برای تولید فومهای سخت مانند مواد عایق یخچال و تولید الاستومرها (مانند کف کفش) و غیره استفاده شوند.
بهبود ایزوسیاناتها از طریق واکنش نسبی با پلی ال ها از طریق ترکیب مواد خاصی در آن حاصل میشود. با این کار همچنین میتوان نقطه انجماد را کاهش داد به طوری که کنترل آنها آسان تر میشود و همچنین خواص پلیمرهای حاصل افزایش یابد. گروههای دیگر ایزوسیانات هایی که کمتر مورد استفاده قرار میگیرند، ایزوسیانات آلیفاتیک و سیکلو آلیفاتیک هستند.
این موارد در پوششها و مناطقی که شفافیت و رنگ بسیار مورد نظر است کاربرد دارند. این بدان دلیل است که پلی یورتان های مبتنی بر ایزوسیانات آروماتیک معطر معمولاً هنگام قرار گرفتن در معرض نور ممکن است تیره شوند در بین ایزوسیاناتهای آلیفاتیک و سیکلو آلیفاتیک، 1-ایزوسیاناتو -3 ایزوسیاناتومتیل-3،5،5-تری متیل-سیکلوهگزان (ایزوفرن دی ایزوسیانات IPDI)،
4 و4 – دی ایزوسیاناتو دی سیکلوهکسیل متان (MDI هیدروژنه یا H12MDI)، 6،1- هگزا متیلن دی ایزوسیاناتو (HDI) پرکاربرد تر هستند.
انواع پلی یورتان و کاربردهای آنها
فوم پلی یورتان نرم (Flexible Polyurethane Foam)
فومهای پلی یورتان نرم برخی از کوپلیمرهای بلوکی هستند که انعطاف پذیری آنها بر اساس جداسازی فاز بین بخشهای نرم و سخت است. این فومهای پلی یورتانی خصوصیاتی از جمله، تراکم، دوام، استحکام، مقاومت در برابر پارگی، قابل اشتعال، کشش سطح دارند.
فومهای پلی یورتان نرم به عنوان بالشتک برای انواع محصولات مصرفی و تجاری از جمله ملافه، مبلمان، فضای داخلی خودرو، زیرانداز فرش و بسته بندی استفاده میشود. فوم نرم را میتوان تقریباً در هر نوع شکل و استحکام ایجاد کرد.

فوم پلی یورتان سخت (Rigid Polyurethane Foam)
فومهای سفت و سخت پلی یورتان یکی از محبوب ترین عایقهای انرژی جهان را هستند. این فومها میتوانند هزینههای انرژی را به میزان قابل توجهی کاهش دهند در حالی که باعث کارآیی و راحتی بیشتر محیطهای تجاری و مسکونی میشوند. برای حفظ درجه حرارت یکنواخت و کاهش سطح صدا در خانهها، مراکز تجاری، و سایر محیطهای کاری سازندگان به پلی یورتان سفت و سخت و فوم پلی ایزوسیانورات روی میآورند. این فومها مواد عایق موثری هستند که میتوانند در عایق بندی سقف و دیوار، پنجرههای عایق بندی شده، دربها و درزگیرهای مانع هوا استفاده شوند.
فومهای پلی یورتان سفت و سخت را میتوان با استفاده از پلی ال های پایه نفتی و همچنین پلی ال های پایه زیستی از روغنهای گیاهی تولید کرد. خصوصیات پلی یورتان فرموله شده به گروه هیدروکسیل موجود در پلی ال ها بستگی دارد. به عنوان مثال، گلیسیرین که از نوع پلی ال نفتی است، شامل گروه اولیه هیدروکسیل است.
از طرف دیگر، پلی ال های پایه روغن نباتی (به عنوان مثال: روغن کرچک) حاوی گروههای هیدروکسیل ثانویه هستند. بنابراین، پلی یورتان های سنتز شده از این دو نوع پلی ال خصوصیات فیزیکی و مکانیکی متفاوتی از خود نشان میدهند. علاوه بر این، واکنش بین گروه هیدروکسیل ثانویه حاوی پلی ال و ایزوسیانات در مقایسه با واکنش بین گروه هیدروکسیل اولیه حاوی پلی ال و ایزوسیانات، کندتر است. بنابراین، مخلوط گروه هیدروکسیل اولیه و ثانویه حاوی پلی ال اغلب برای کاهش مصرف پلی ال پایه نفتی استفاده میشود.

پوششها، چسبها، درزگیرها و الاستومرها
استفاده از پلی یورتان ها در بازار پوششها، چسبها، درزگیرها و الاستومرها مزایای گستردهای را ارائه میدهد.
برای اینکه پلی یورتان ها برای استفاده در پوشش مناسب باشد، آنها باید از ویژگیهای چسبندگی خوب، مقاومت شیمیایی بالا، خشک شدن عالی، انعطاف پذیری دمای پایین و مقاومت خراش کافی برخوردار باشند. پوششهای پلی یورتان میتوانند ظاهر محصول را بهبود بخشیده و طول عمر آن را افزایش دهند.
چسبهای پلی یورتان میتوانند مزایای اتصال قوی ایجاد کنند، در حالی که درزگیرهای پلی اورتان چسبندگی بیشتری را ارائه میدهند. بیشتر مواد چسبنده که معمولاً در کامپوزیتهای چوب و سایر مواد ساندویچی یافت میشوند، بر پایه فنل فرمالدئید و اوره فرمالدئید ساخته میشوند .
الاستومرهای پلی یورتانی نوع دیگری از مواد مهم هستند که ممکن است برای انواع کاربردهای مفید مانند کفش، وسایل خانه، تخته موج سواری، عینک، چکمههای اسکی و غیره مورد استفاده قرار گیرند. طراحی آنها در مقایسه با فلزات سبک تر است و میتوانند خواص بازیابی تنش بسیار مطلوبی را فراهم کنند و همچنین میتوانند در برابر چندین عامل محیطی مقاومت کنند.

پلی یورتان ترموپلاستیک (Thermoplastic polyurethane)
پلی یورتان ترموپلاستیک تعداد بیشماری از ترکیبات فیزیکی و کاربردها را ارائه میدهد. بسیار کشسان، انعطاف پذیر و مقاوم در برابر سایش، ضربه و آب و هوا است.
سنتز پلی یورتان ترموپلاستیک شامل اسیدهای چرب مبتنی بر دی ایزوسیاناتها است. گزارش شده است که ماده سنتز شده ثبات حرارتی قابل توجهی را بدون هیچ گونه کاهش وزن قابل توجهی در دمای زیر 235 درجه سانتیگراد نشان میدهد. به دلیل خاصیت محلول در آب، غیر یونی و بی اثری TPUها، آنها با موفقیت به عنوان ماده کنترلکنندههای پلیمر برای آزاد سازی دارو در لولههای پزشکی مورد استفاده قرار گرفته اند زیرا خواص مکانیکی بالای آن میتواند اجازه استفاده از لولههایی با دیوارههای نازک بدون استفاده از نرم کننده را فراهم کند.
پلی یورتان های ترموپلاستیک میتوانند به طیف گستردهای از روشها رنگ یا ساخته شده و استفاده از آنها دوام کلی محصول را افزایش دهد. پلی یورتان ترموپلاستیک الاستومری است که کاملاً ترموپلاستیک است. مانند تمام الاستومرهای ترموپلاستیک، پلی یورتان ترموپلاستیک نیز الاستیک و قابل پردازش ذوب است. علاوه بر این، میتوان آن را بر روی تجهیزات اکستروژن، تزریق، ضربه و قالب گیری فشرده سازی پردازش کرد. پلی یورتان ترموپلاستیک میتواند تعداد قابل توجهی از ترکیبات فیزیکی را فراهم کند، و آن را به مادهای بسیار انعطاف پذیر تبدیل میکند که با دهها کاربرد مانند ساخت و ساز، خودرو و کفش سازگار است. شکل زیر نمونهای از این نوع پلی یورتان ها را نشان میدهد.

پلی یورتان با واکنش قالب گیری تزریق (Reaction Injection Molding)
سپرهای اتومبیل، پانلهای برقی و محفظههای تجهیزات رایانهای و مخابراتی از جمله قطعات تولید شده با پلی یورتان ها با استفاده از قالب تزریق واکنش هستند. علاوه بر مقاومت بالا و وزن کم، قطعات پلی یورتان با واکنش قالب گیری تزریق میتوانند مقاومت در برابر حرارت، عایق حرارتی، پایداری ابعادی و سطح بالایی از ویژگیهای دینامیکی را نشان دهند. خودرو، ساخت و ساز، لوازم خانگی، مبلمان و وسایل تفریحی و ورزشی تعدادی از بازارها و برنامههای کاربردی با استفاده از فناوری پلی یورتان با واکنش قالب گیری تزریق هستند.
اتصال دهنده (Binder)
از اتصالدهندههای پلی یورتان برای چسباندن انواع مختلفی از ذرات و الیاف به یکدیگر استفاده میشود. به عنوان ماده اتصال دهنده، نسبت بخش سخت / نرم پلی یورتان باید زیاد باشد و به پایداری گرمایی خوبی نیاز است. برای ایجاد مقاومت شیمیایی عالی در اتصالدهندههای پلی یورتان، ترکیبی با پلیمر اکریلیک نیز ترجیح داده میشود. زمینههای اصلی استفاده آنها در ساخت پانلهای چوب، سطوح کفپوش لاستیکی یا الاستومری و ریخته گری شن و ماسه برای صنایع ریخته گری است.
به دلیل خواص اتصال عالی، پلی یورتان به عنوان جایگزین مناسبی برای چسبهای پایه حلالهای آلی پیشنهاد شده است. جدا از استفاده از پلی یورتان به عنوان چسب، درزگیر، کف و پوشش، ممکن است از آنها به عنوان پیشران موشک و مواد منفجره پیوند یافته با پلیمر نیز استفاده شود. گروههای چند منظوره موجود در مواد باعث میشود تا به راحتی توسط دی ایزوسیانات بهبود یابد.
در میان انواع مختلف مورد استفاده، پیش پلیمرهای حاوی گروههای پلی بوتادین هیدروکسیل پایان یافته به طور گستردهای به عنوان اتصال دهنده برای پیشرانههای کامپوزیت جامد استفاده شده اند. گزارش شده است که این چسب یکپارچگی ساختاری و همچنین پایداری ابعادی به مواد منفجره را ارائه میدهد. این میتواند به خواص مکانیکی ناشی از واکنش یورتان بین گروههای هیدروکسیل زنجیره پایان HTPB و ایزوسیاناتهایی که الاستومر PU تولید میکنند، تعلق گیرد.
پلی یورتانهای پراکنده در آب ( Waterborne Polyurethane Dispersion)
پلی یورتان های پراکنشی پلی یورتانی، پوششها و چسبهایی هستند که از آب به عنوان حلال اصلی استفاده میکنند. آنها این مزیت منحصر به فرد را دارند که ویسکوزیته پراکندگی به وزن مولکولی پلیمر وابسته نیست.. انواع و مقدار پلی ال، ایزوسیانات، مونومرها و بسط دهندههای زنجیرهای مورد استفاده عامل خصوصیات مختلف این پراکندگی هستند.
گردآوری و ترجمه: واحد تولید محتوای گروه صنعتی مکرر
منبع: americanchemistry.com