رزین اپوکسی برای اولین بار در سال 1909 توسط پریلساژو کشف شدند. این نوع رزین ها به عنوان مواد پیش ساز پلیمرهایی با وزن مولکولی کم که شامل بیش از یک گروه اپوکسید فرم (
) است، تعریف شدهاند .رزین های اپوکسی رزین های گرماسختی هستند که ساختار شیمیایی آنها شامل دو بخش رزین و هاردنر میباشد.
انواع رزین اپوکسی از طریق واکنشهای پخت و با استفاده از طیف وسیعی از عوامل پخت (هاردنر) ساخته میشوند. خواص رزین های اپوکسی به شدت به نوع رزین، نوع و مقدار هاردنر و نحوهی ترکیب آنها با یکدیگر بستگی دارد. در حال حاضر از رزین های اپوکسی به دلیل خواص مکانیکی عالی، چسبندگی زیاد به بسیاری از بسترها و مقاومت خوب گرمایی به طور گسترده و در زمینههای مختلف از جمله پوشش سطح، چسب، روکش، ابزارسازی و کامپوزیت ها استفاده میشود.
انواع رزین اپوکسی
دی گلیسیدیل اتر بیس فنول -A یا (DGEBA) از طریق واکنش اپی کلرهیدرین با بیس فنول A- در حضور یک کاتالیست پایه تولید میشود. خصوصیات رزین DGEBA به تعداد واحدهای تکرار شونده بستگی دارد. مولکولهای با وزن مولکولی کم، مایعات و مولکولهای با وزن مولکولی بالاتر، مایعات چسبناکتر یا جامد هستند.

رزین های اپوکسی سیکلوآلیفاتیک
رزین اپوکسی سیکلوآلیفاتیک (CAE)، از طریق واکنش 3-سیکلوگزنیل متیل 3-سیکلوهگزنکاربوکسیلات با اسید پراستیک سنتز میشود. این رزین اپوکسی دارای پیکره آلیفاتیک و ساختار مولکولی کاملاً اشباع شدهای است که به پایداری اشعه ماورا بنفش، مقاومت در برابر هوا، پایداری حرارتی خوب و خصوصیات الکتریکی عالی آن کمک می کند. این خصوصیات برای رزین هایی که در محیطهای با درجه حرارت بالا کاربرد دارند، بسیار مهم است.

رزین های اپوکسی سه منظوره
یک رزین اپوکسی سه منظوره، تری متیلولپروپان -N- تری گلیسیدیل اتر، میتواند ازطریق واکنش تری متیلول پروپان و اپی کلروهیدرین تهیه شود. (شکل زیر)

این رزین اپوکسی یک ماده پلاستیکی با ویسکوزیته کم و غیر کریستالی است که در دمای پایین پخته میشود.
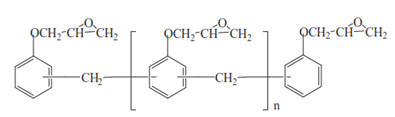
رزین اپوکسی چند منظوره
رزین های اپوکسی چند منظوره از واکنش 1،3 دی آمینو بنزن یا 4،40 آمینودیفنیل متان با اپی کلرهیدرین سنتز میشوند. شکل زیر ساختار شیمیایی این رزین های اپوکسی را نشان میدهد. این رزین های اپوکسی دارای عملکرد اپوکسی بالا و چگالی اتصال عرضی بالا هستند. بنابراین از آنها در مواردی که به مقاومت در برابر درجه حرارت بالا نیاز است استفاده می شود. همچنین این رزین های اپوکسی پخته شده مقاومت شیمیایی عالی، اثر انسداد اشعه ماورا بنفش خوب و پایداری حرارتی مناسبی را نشان میدهند.

رزین های اپوکسی نووالاک
رزین های اپوکسی نووالاک، گلایسیدیل اترهای رزین های فنلی نووالاک هستند که از واکنش رزین فنول نوولاک با اپی کلرهیدرین سنتز شده اند.

گروههای اپوکسید متعدد در رزین های اپوکسی نووالاک به چگالی اتصالات عرضی بیشتر آنها کمک میکند، که منجر به خواص عالی حرارتی، شیمیایی، حفظ بهتر خواص مکانیکی در دماهای بالاتر، به حداقل رسیدن میزان جمع شوندگی رزین و مقاومت در برابر حلال می شود.
رزین های اپوکسی پایه زیستی
پلیمرهایی که از منابع طبیعی تجدیدپذیر، مانند کربوهیدراتها، نشاسته، پروتئینها، چربیها و روغنها به دست میآیند به دلیل هزینه کم و تجزیه بیولوژیکی توجه زیادی را به خود جلب کردهاند.
روغنهای گیاهی ترکیبات پیچیدهی چند جزیی از تری اسیل گلیسرولهای مختلف، مانند استرهای گلیسرول و اسیدهای چرب هستند. تری گلیسیریدهای حاوی طیف وسیعی از سایتهای غیر اشباع است که به راحتی میتواند با پراسیدهای آلی یا H2O2 اپوکسید شوند. روغنهای گیاهی اپوکسید شده پتانسیل بسیار خوبی به عنوان مواد تجدیدپذیر و ارزان برای کاربردهای صنعتی نشان میدهند.
رزین های اپوکسی حاوی فسفر
ترکیبات فسفر میتوانند از طریق مهار شعله در فاز گاز و افزایش ذغال در فاز متراکم، منجر به اثر بازدارندگی شعله بالا در رزین های اپوکسی شوند. همچنین مشخص شده است که آنها در مقایسه با ترکیبات حاوی هالوژن، گاز و دود سمی کمتری تولید می کنند، از این رو یک ترکیب سازگار با محیط زیست شناخته میشوند.

رزین های اپوکسی حاوی سیلیکون
سیلیکون به عنوان یک ماده مقاوم در برابر شعله و سازگار با محیط زیست در نظر گرفته میشود زیرا نسبت به مواد موجود تأثیر کمتری بر محیط دارد. رزین های اپوکسی حاوی سیلیکون را میتوان با دو روش ساخت. یک روش اول وارد کردن سیلوکسانها به ترکیبات اپوکسی با استفاده از واکنشهای هیدروسیلیلاسیون است. روش دیگر با استفاده از کاتیون ترانس بین الکوکسیل سیلان و گلیسیدول، یا میعان سیلوکسانهای هیدروکسیل پایان یافته با رزین های اپوکسی یا اپی کلرهیدرین استفاده میشود. این رزین های اپوکسی مزایای هر دو رزین های اپوکسی و رزین های سیلیکونی را از خود نشان میدهند.

گردآوری و ترجمه: واحد تولید محتوای گروه صنعتی مکرر
منبع: